HP TET Result 2025 : The Himachal Pradesh Board of School Education has release the HP TET Result June 2025. To check the HP TET June Exam Result 2025, please visit the official website of the Himachal Pradesh Board of School Education at www.hpbose.org.
HP TET June Result 2025
The Himachal Pradesh Board of School Education (HPBOSE) is responsible for organizing the Himachal Pradesh Teacher Eligibility Test (HP TET) for various subjects including Junior Basic Training (JBT) TET, Shastri TET, TGT (Non-Medical) TET, Language Teacher TET, TGT (Arts) TET, TGT (Medical) TET, Punjabi Language Teacher, and Urdu Language Teachers.
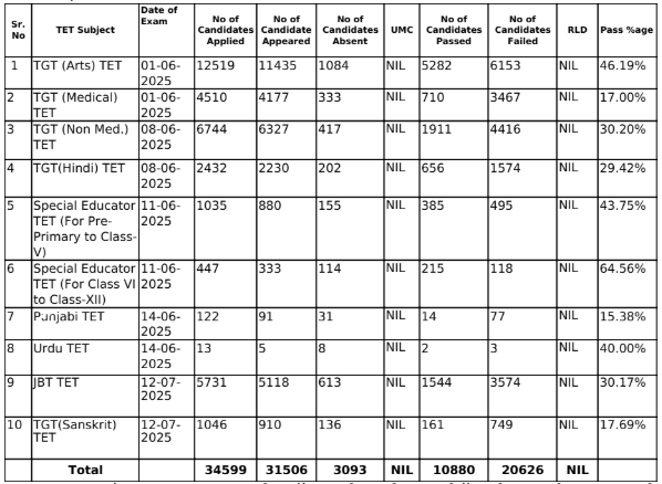
This examination is conducted twice a year, and most recently, the HP Teacher Eligibility Test Exam for the November session took place on the 01 June to 14 June 2025.
HP TET Result 2025 Overview
| Exam Conducting by | Himachal Pradesh Board of School Education (HPBOSE) |
| Name of Exam | Himachal Pradesh Teacher Eligibility Test (HP TET) |
| Exam Date | 01 June to 14 June 2025 |
| Result Check By | Application Number and Roll Number |
| Result Date | 13 August 2025 |
| Exam Mode | Offline |
| HPTET Exam For | Junior Basic Training (JBT), Shastri, TGT, TET, etc. Teacher Exam |
| Result | Declared |
| Official Website | hpbose.org |
| सबसे पहले HP TET Result की Update पाने के लिए WhatsApp Channel को Follow जरुर करें !! | Click Here |
| HP TET June Result 2025 | Direct link |
HP Teacher Eligibility Test Result Date 2025
The Himachal Pradesh Teacher Eligibility Test (HP TET) was held on 01 June to 14 June 2025. After taking the exam, candidates are inquiring about the result date for the HP Teacher Eligibility Test in 2025.
The Himachal Pradesh Board of School Education has release HP TET Result for June Month 2025. To stay updated, please visit the official website at https://www.hpbose.org/OnlineServices and refer to the latest update regarding the Himachal Pradesh Teacher Eligibility Test Result.
HPTET Result June 2025

| HP TET Result | Direct Link |
Steps to check HP TET Result June 2025
To check the HP TET Result 2025, you need to follow these steps:
- Go to the official website of the Himachal Pradesh Board of School Education (HPBOSE) at http://hpbose.org.
- On the homepage, look for the latest update regarding the HP TET Result 2025.
- Click on the link provided for the Result of HP TET TGT (Arts), TGT (Non-Medical), TGT (Medical), Shastri, Language Teacher, JBT (changed to D.El.Ed), Punjabi, & Urdu Special Teacher Eligibility Test (JBT-TET), Special Educator – (June 2025).
- A new tab will open with the Result Check Page.
- Enter your Application Number and Roll Number in the designated fields.
- Click on the Search option.
- On the screen, you will be able to see the marks scored and the exam report for the HP TET Result 2023.
| HP Tet Result 2025 | Click Here to Check |
Details mentioned on HPBOSE TET Result June 2025
Here is a comprehensive list of all the information provided in the HP TET result. After the declaration of the HPTET Result 2025, candidates are advised to verify the details mentioned below.
- Candidate’s name
- Guardian Name
- Name of the exam
- Exam date, venue, centre, time, etc.
- Date of birth
- Category
- Gender
- Registration number
- Roll number
- Post
- Marks obtained
- Qualifying status
HP TET Result 2025 Qualifying Marks
The Himachal Pradesh Board of School Education (HPBOSE) has set the minimum qualifying marks for the HP TET Exam 2025 based on different categories. Candidates belonging to the General category are required to score a minimum of 60% of the total marks, while candidates from other categories must score a minimum of 55%. To determine the exact HPTET Minimum Qualifying Marks for each category, candidates can refer to the official guidelines or study materials provided by HPBOSE.
| Category | Qualifying | Qualifying Marks (out of 150) |
| General | 60% | 90 |
| Reserved Category | 55% | 82.5 |
HP TET Result November 2024 Pass Student
| Test Subject | Total Candidates Appeared | Pass |
|---|---|---|
| JBT/D.EL.ED | 7936 | 2436 |
| Shastri | 2176 | 873 |
| TGT (NM) | 7929 | 533 |
| Language Teacher | 3297 | 357 |
| TGT (Medical) | 5273 | 1396 |
| TGT (Arts) | 14925 | 4362 |
| Punjabi | 114 | 16 |
| Urdu | 8 | 0 |
HP TET Exam Answer Key November 2025
| Subjects | Download links |
| Shastri | Click here |
| TGT Non Medical | Click here |
| TGT Arts | Click here |
| TGT Medical | Click here |
| TGT LT | Click Here |
| Urdu TET | Click here |
| Punjabi | Click here |
| JBT TET | Click here |
| हर रोज HP GK, HP Current Affairs, Latest HP Govt Jobs 2025 की Updates पाने के लिए हमारे WhatsApp Channel और Telegram Channel को Follow करें |