HP Police Constable Result 2025: The Himachal Pradesh Public Service Commission, Shimla has declared the the HPPSC Ayurvedic Pharmacy Officer Final Result 2025. The result link has been activated on the official website of the HPPSC Shimla at http://www.hppsc.hp.gov.in/.
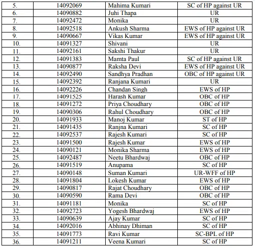
On the basis of the performance of candidates in the Objective Type Examination {Paper-I & Paper-II} followed by Document Verification for the post(s) of Ayurvedic Pharmacy Officer, Class-III (on contract basis) in Ayush Vibhag, following is the list of candidates, in order of merit, who are being recommended for appointment against said posts:-.
Read More : HP High Court Peon Final Result 2025
HPPSC Ayurvedic Pharmacy Officer Final Result 2025 Overview
| Recruitment Body | Himachal Pradesh Public Service Commission |
| Name of post | Ayurvedic Pharmacy Officer, Class-III (on contract basis) in Ayush Vibhag |
| No. of posts advertised/ notified | 41 |
| Date of Screening Test & Subject Aptitude Test | 14-09-2024 |
| Date of notifying list of shortlisted candidates | 21.01.2025 |
| No. of candidates shortlisted | 66 |
| Dates of Document verification of shortlisted Candidates | 18.02.2025 , 19.02.2025 & 18-06-2025 to 19-06-2025 |
| Result Status | Released |
| HPPSC Ayurvedic Pharmacy Officer Final Result 2025 Date | 20 June 2025 |
| Official Website | http://www.hppsc.hp.gov.in/ |
| Join Whats App Group | Click Here |
HPPSC Ayurvedic Pharmacy Officer Final Result 2025


How to check HPPSC Ayurvedic Pharmacy Officer Result 2025 ?
Candidates can now download the HPPSC Ayurvedic Pharmacy Officer Result 2025 from official website by following steps listed below:
- Visit the Official Website of Himachal Pradesh Public Service Commission i.e., http://www.hppsc.hp.gov.in/hppsc/ .
- Click on the link titled “HPPSC Ayurvedic Pharmacy Officer Result 2025 pdf”.
- Download the result pdf.
Important Links
| Official website | http://www.hppsc.hp.gov.in/ |
| HPPSC Ayurvedic Pharmacy Officer Result 2025 pdf | Click Here |
| Join Whatsapp Channel | Click Here |
| Download HIM IQ Quiz App | Download Now |
FAQ: HPPSC Ayurvedic Pharmacy Officer Result 2025
How to Check HPPSC Ayurvedic Pharmacy Officer Result 2025?
Candidate can check their result by using official website
What is the HPPSC Ayurvedic Pharmacy Officer Result 2025 Date?
20 June 2025